【摘要】移动应用广告形式大解析

【好消息:还记得“移动应用广告的 CPC 以及 CPM 的定价应该在多少?”精彩回答的作者张云皓吗,么么邀请他专门为M友们揭开“M讲堂”第一课。】
|M讲堂|介绍(Morketing新开设栏目)
1、每周1课:
专门为M友们讲移动营销专业知识。通俗的语言、不官方,边玩边学。
2、客座老师
可以是大咖,也可以是产品负责人,只要你愿意吐干货,Morketing鼓掌欢迎。
~~~~~~~~~~~~
好咧,正式开讲啦。
~~~~~~~~~~~~
(一)移动应用广告形式有哪几种?
目前市场习惯通过展示页面的位置、样式或者内页的结构来命名一个广告,如通知栏、推荐墙等。实际上我更推荐用归类的思想来简单的解构和重组广告,有便于进一步确定广告的优缺点和适用性。
广告的主要组成有三:
维度一:展示位置
通知栏
应用界面
布局型
i. 固定布局
ii. 动态布局
悬浮型
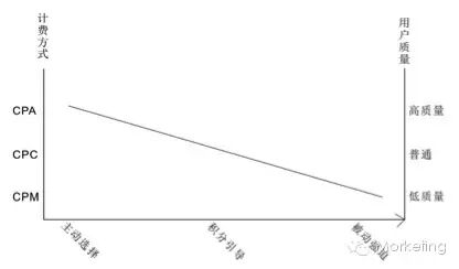
维度二:计费方式
CPM
CPC
CPA
固定定价
浮动定价
维度三:引导形式
主动选择式
积分引导式
被动强迫式
主流的广告模式如推送、banner、插屏、推荐强、积分墙等,都可以通过以上维度的而得;进一步观察可知,撇开展示图形的不同(banner的条状,插屏的豆腐块等),则以上三个维度总体可以组合出
36种独立的广告模式。
(二)各种广告形式比较适合哪类广告主,它们有何不同?
首先,以下结论仅适用于APP广告,品牌广告有更为复杂的考察维度。
展示位置代表了用户对广告的感知程度,感知程度与用户流失率呈正相关,与广告的关注度呈开口向下的抛物线关系。既对开发者而言,感知度越高,用户流失率越高;对广告主而言,随着感知度的攀升,前期有助于提高广告的关注度,后期反而会降低广告的关注度(选择性无视)。

计费方式决定了开发者对广告的使用方式,移动互联网广告的特质导致绝大部分都以效果为导向,既广告主与平台之间CPA或CPS结算为主。
当平台与开发者以CPM结算的时候,变相的引诱开发者滥用广告促发“骗展示”;如果以CPC结算,则引诱开发者在用户频繁操作的区域弹出广告“骗点击”,可想而知这对情况一定程度上也会使用户“恨屋及乌”,迁怒于广告产品本身,损害其美誉度,同时也带不来真实的效果。
唯有CPA结算,才能使开发者真正花心思去思考广告的展示方式,以期在最合适的时候给用户推荐广告。根据理性人假设,假以时日,非CPA结算的广告平台的应用质量将显著低于CPA结算的广告平台,开发者知道应该将高质量的应用交给谁。
引导方式则直接决定了用户质量,我们可以想象得到,用户通过详细的了解,主动选择下载安装广告应用,则其更有可能去体验产品;而积分型因为有额外的目的,一定程度上会拉低有效用户占总转化用户的比例;强迫型(静默、强制下载、安装、打开等方式)就更不用说了。
(三)应用推广常用的广告形式是哪个?
广告模式的选择一般是广告平台的运营人员凭经验和数据表现来选择的,广告主只需要告知结算条件,既推广目的(冲安装量,冲注册用户量,冲流水等),就会有不同的选择。总体上来说,计费方式和引导方式是用户质量较为主要的决定性因素。

(四)哪种广告形式前景更好?
仅以目前的情况来看,CPA结算的插屏从泛用性和公平性上来说更为优异。但随着移动互联网的发展进入成熟期,格局越来越清晰,硬广告并不太适合主流应用的使用。同时也因为移动设备的屏幕尺寸毕竟有限,终究是无法跟桌面显示器同日而语,如何在不打扰用户操作流的情况下,把广告信息有效的传达给用户是广告形式未来发展的主要着力点。通过改造SDK,把广告内容进一步打散,并提供给开发者根据应用的情况重组成内容广告,可能更适应时代的发展。
(五)移动互联网广告的发展瓶颈是什么?
个人认为目前主要是在两方面:
第三方监测的效果未能完全显现,由于早期各自为政,广告监测和广告物料标准的缺失使得广告主、广告平台、开发者三方无法取得相互信任,继而都选择采取相对保守的措施来维护自身利益,使得无论从效果和效率两方面都离理想状态相差甚远。可喜的是MMA等广告联盟已致力于破除企业间隔膜,也希望行业规范的出台能让三方合作上一个新的台阶。
投放手段相对粗放,未能发掘数据的价值。由于移动互联网相较于传统互联网在环境上的巨大差异,桌面端的人群分析竞价模型并不能简单移植,导致现在流量的利用率过低。如何把最合适广告呈现给最合适的用户,是广告永恒的话题。
本文转载自『Morketing』,作者:Morketing,Morketing经授权发布,转载或内容合作请点击版权说明,违规转载法律必究。
已有0人收藏
已有0人点赞
发表评论
请先注册/登录后参与评论